Kono Chem Co., Ltd. és un dels millors fabricants i proveïdors de nistatina 1400-61-9 a la Xina. Us donem una càlida benvinguda a la nistatina a granel a l'engròs 1400-61-9 a la venda aquí des de la nostra fàbrica. Tots els productes químics són d'alta qualitat i preu competitiu.
1.Introducció
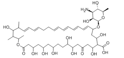
La nistatina és un fàrmac antifúngic de poliè extret del brou de cultiuStreptomyces noursei. Consta principalment de tres components bioactius: nistatina A1, A2 i A3. Caracteritzat per una estructura de macròlids de poliè conjugat, presenta una potent activitat antifúngica mentre no mostra cap efecte inhibidor sobre els bacteris. Des del seu descobriment l'any 1950, la nistatina s'ha utilitzat àmpliament en el camp de la teràpia antifúngica.
La nistatina apareix com una pols groc o groc-marró amb una olor i higroscopicitat característiques. És lleugerament soluble en aigua, metanol i etanol, però insoluble en acetona, èter i cloroform. En particular, és inestable sota l'exposició a l'aire, la llum, la calor, l'aigua, els àcids o els àlcalis, i requereix un control estricte de les condicions ambientals durant l'emmagatzematge i l'ús.

2.Funció
2.1. Mecanisme antifúngic
La nistatina exerceix el seu efecte antifúngic en unir-se específicament als esterols (com l'ergosterol) a la membrana cel·lular dels fongs. Aquesta unió altera la permeabilitat de la membrana, donant lloc a la fuga de continguts intracel·lulars essencials, inhibint així l'activitat dels fongs i aconseguint un efecte fungistàtic. A concentracions elevades, fins i tot pot exercir un efecte fungicida. El seu mecanisme d'acció és similar al de l'amfotericina B.
2.2. Espectre antifúngic
La nistatina té un ampli espectre antifúngic. Mostra la més alta activitat antifúngica contra el gènereCàndida. A més, és efectiu contraCryptococcus neoformans, Aspergillus, Trichophyton, Coccidioides, Histoplasma capsulatum, Blastomyces dermatitidis, dermatòfits,Mucor, iMicrosporum.

3.Aplicació
3.1. Aplicacions Clíniques Mèdiques
(1) Tractament de les infeccions mucocutànies: S'utilitza principalment per al tractament deCandida albicansinfeccions que afecten la pell, les mucoses, la cavitat oral, els intestins i la vagina. Les formes de dosificació habituals inclouen comprimits, supositoris, ungüents i suspensions. L'efecte terapèutic màxim s'aconsegueix normalment 24-72 hores després de l'administració tòpica. La nistatina no s'absorbeix del tracte gastrointestinal després de la ingestió oral, i no s'absorbeix a través de la pell o les mucoses després de l'aplicació tòpica; gairebé tota la dosi s'excreta en la seva forma original a les femtes.
(2) Gestió d'altres infeccions: Es pot utilitzar com a agent terapèutic adjuvant per a infeccions fúngiques profundes (com araCryptococcus neoformanspneumònia iMucorinfecció) en pacients immunodeprimits, inclosos aquells amb sida i persones amb tractament immunosupressor a llarg termini.
3.2. Aplicacions de la investigació científica
(1) Protecció de cultius cel·lulars: serveix com a additiu antifúngic en cultius cel·lulars per prevenir la contaminació per fongs, sense recomanacions per a l'esterilització a alta-pressió o amb filtres.
(2) Regulació de citocines: amb fortes propietats pro-inflamatòries, indueix l'expressió de TLR2 a les cèl·lules THP1 i promou la secreció de citocines, actuant com una eina clau per a la investigació immune i inflamatòria.
(3) Recerca de biofilms: Funciona com a agent formador de porus-unió d'ergosterol-, formant canals iònics de nistatina/ergosterol a les bicapas lipídiques per donar suport als estudis d'estructura i funció del biofilm.

4. Estàndard de qualitat
| Aparença | Pols groc/marronós-groc amb una olor característica i una forta higroscopicitat |
| Solubilitat | Soluble en dimetilformamida |
| Identificació |
Pics d'absorció màxims a 291 nm, 304 nm i 319 nm; el punt principal de la cromatografia de-capa fina coincideix amb l'estàndard de referència |
| Valor pH | pH 6,5-8,0 (suspensió preparada amb mostra de 30 mg) |
| Pèrdua per assecat | Menor o igual al 5,0% (assecat-al buit a 60 graus durant 3 hores) |
| Residus a l'encesa | Menor o igual al 4,0% |
| Seguretat | La suspensió injectable (1200 unitats/ml) compleix els requisits de toxicitat anormal; el límit microbià compleix amb les normes |
| Potència | Superior o igual a 4500 unitats de nistatina per mil·ligram (calculat en base a seques) |
| Requisits d'emmagatzematge | Segellat, emmagatzemat en condicions secs i a prova de llum{0}}; vida útil de 2 anys |
5.Mètode d'anàlisi
MOA està disponible a petició.
6.Estabilitat i seguretat
Estabilitat:
L'emmagatzematge segellat, sec i a prova de llum-a temperatura ambient (15-30 graus) manté l'eficàcia durant 2 anys; La solució d'estoc (suspensió de 50 mg/ml) emmagatzemada a -20 graus és estable per a un ús a llarg termini.
Seguretat:
Baixa toxicitat aguda; L'administració oral té una mala absorció gastrointestinal, gairebé cap toxicitat sistèmica.
7.Procés de fabricació
(1)Activació i expansió de la varietat: seleccioneu un rendiment alt-Streptomyces nourseiceps, s'activen en inclinacions sòlides i expandeixen el cultiu mitjançant matràs agitats i dipòsits de llavors a 28 graus, assegurant l'esterilitat i la micelia robusta.
(2) Fermentació a gran -escala: inoculeu el líquid de llavors als fermentadors, prepareu el medi amb pols de coca de glucosa/soja (fonts de carboni/nitrogen) i sals inorgàniques. Cultiu a 26-28 graus, pH 6,0-7,0 durant 5-7 dies amb aireació i agitació (oxigen dissolt: 20-40% de saturació).
(3) Extracció i purificació: filtrar el brou de fermentació per eliminar les impureses, extreure la nistatina amb dissolvents (p. ex., metanol), purificar mitjançant precipitació i cromatografia en columna i, a continuació, congelar-assecar per obtenir un API d'alta-puresa.
(4) Formulació i control de qualitat: processeu l'API en tauletes, supositoris, etc. Potència de prova (superior o igual a 4500 unitats/mg) i límits microbians. Tanqueu i envaseu en contenidors-a prova lleugera després de passar la inspecció.
8.Comentaris dels clients

9.El nostre certificat

10.Els nostres clients

11.Exposicions

Etiquetes populars: nistatina 1400-61-9, fabricants, proveïdors, fàbrica de nistatina de la Xina 1400-61-9














